반응형
오늘 포스팅할 내용은 2021년 부사관 월급입니다.
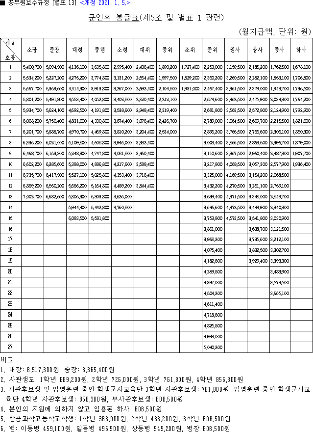
기본적으로 군인도 공무원이기 때문에 공무원 보수규정의 별표에 첨부된 그해의 봉급표를 기준으로 급여를 지급받습니다.
기준은 기준일 뿐 각 개인의 상황에 따라 수당이 달라지므로 같은 계급 같은 호봉의 간부 월급도 다 다릅니다.
기본적으로 공군 상사 월급이나 특전사 육군 상사 월급이나 같은 호봉이라면 기본급은 같습니다.
2021년 군인 봉급표 2021 직업군인 월급

2020년 군인 봉급표

다만 공군 상사가 단순 지상 정비 특기라면 수당이 그리 많지 않지만 특전사 육군 상사라면 고공강하 여부에 따라 위험수당이 붙어서 차이가 많이 나게 됩니다.
혹은 마찬가지로 정찰기에 탑승하는 공군 중사와 잠수함 승조원 해군 중사라면 해군 중사 월급에 더 많게 됩니다.

일반 보병 육군 하사 월급과 잠수함 탑승 해군 하사 월급은 거의 큰 차이가 납니다.
바로 특수 근무 수당이나 위험수당 때문인데요.
이들 수당에 대한 글은 이 글의 카테고리 포스팅해 둔 특수근무수당 관련 글을 참조하세요.
반응형
'군인 월급 봉급표' 카테고리의 다른 글
| 2024년 공무원 봉급 인상률에 따른 2024 군인 월급 예상: (0) | 2023.09.19 |
|---|---|
| 2023년 직업군인 월급 육군 소위 헬기 조종사 준위, 공군 전투기 파일럿 대위 월급 2023 군인 봉급표 (0) | 2023.07.24 |
| 국군 해외파병 월급은 얼마? (0) | 2020.12.18 |
| 2021년 공무원 봉급표 2021 군인 월급 내년 교육공무원 월급표 교원 호봉표 (0) | 2020.09.06 |
| 2021년 군인 봉급표 2021 직업군인 월급 장교 소위월급 간부월급 (0) | 2020.08.18 |
댓글