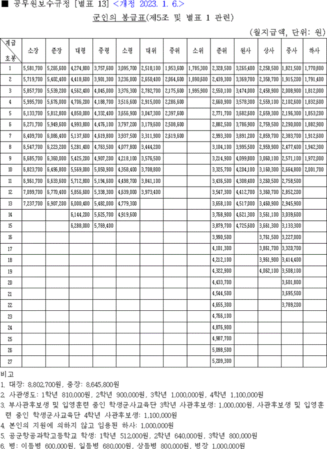
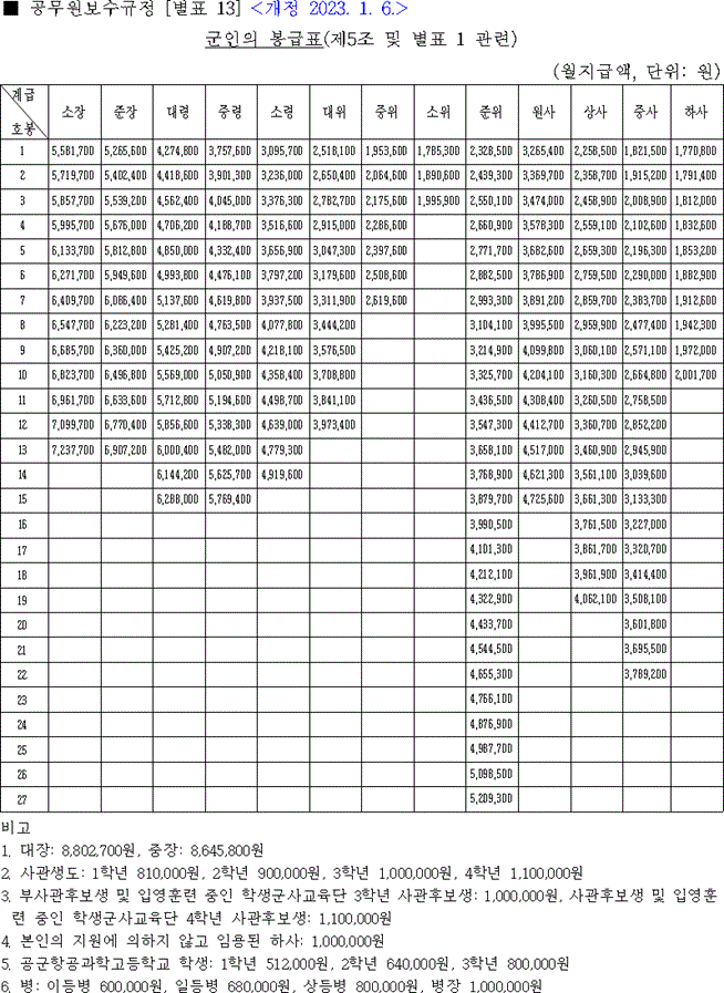
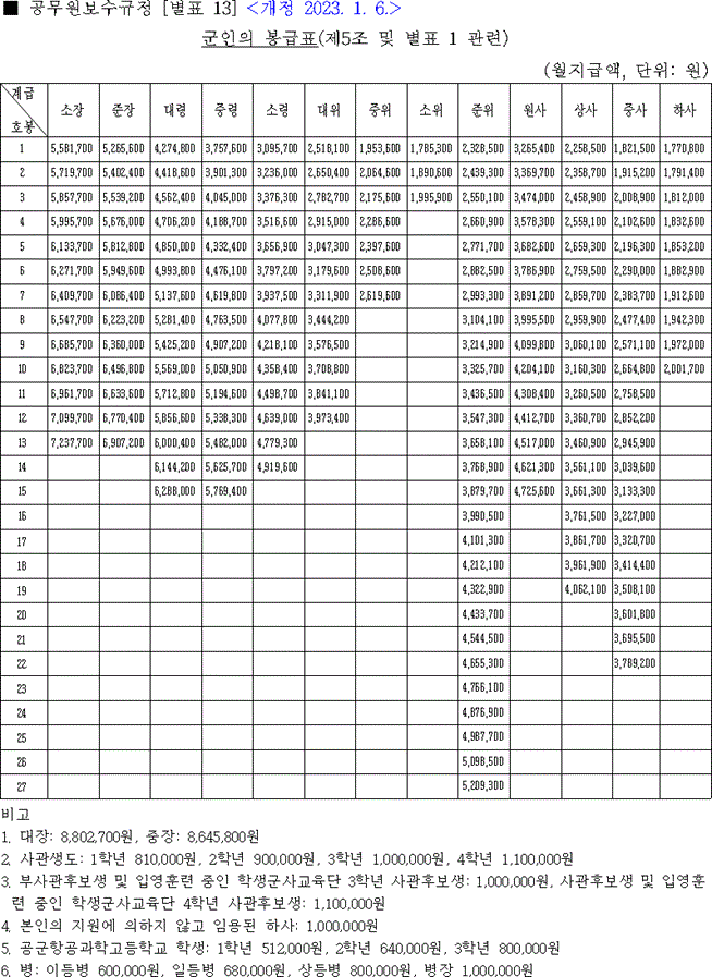
2023년 직업군인 월급
출신별 소위, 중위, 대위 월급의 호봉 차이
직업 군인들의 월급 체계에 대해 알아보겠습니다. 군인은 공무원이기 때문에 직업군인의 월급체계는 일반 공무원의 월급체계와 동일합니다. 군인의 월급도도 기본급과 수당으로 구성되며, 호봉제의 봉급이 기본이 됩니다. 다만 군인의 경우 업무 특성상 위험수당과 같은 특기 수당이 제공되기도 합니다. 이는 일반 공무원도 붙지만, 일반공무원의 업무 특성상 이 수당이 높지는 않습니다. 하지만 군인, 특히 그중에서 잠수함 승조원이라든지 전투기 조종사의 위첨수당인 특수근무수당은 액수가 상당하기 때문에, 같은 계급 같은 호봉에서도 실수령액 차이가 상당하게 됩니다.
군인 계급과 호봉
군인의 월급도 호봉제를 따르는데 장교의 계급과 출신 경로에 따라 임용 시 호봉에 차이가 있습니다. 예를 들어, 육군사관학교 출신인 육사는 소위로서의 첫 시작이 3호봉부터입니다. 소위로 1년 일하면 중위로 진급시켜 줍니다. 그리고 중위로 진급하면 1호봉을 감하면서 중위 3호봉이 됩니다. 소위 4호봉이 되어야 하는데 중위 3호봉이 된다는 뜻입니다.
반면에, 육군 3 사관학교 출신은 2호봉부터 시작합니다. 국립대학교 예비역 군사학과(ROTC) 출신이나 학사장교는 1호봉에서 시작합니다. 다만, ROTC는 0.5호봉부터 시작하기 때문에 6개월이 지나면 호봉이 2호봉으로 승급됩니다.
이러한 월급 체계는 일반 공무원과 구조적인 차이는 없으나, 공군 대위 월급이나 해군 대위 월급의 실수령액은 달라질 수 있습니다. 이는 소위 위험수당이라는 특수근무 수당에 따라서 차이가 발생하기 때문입니다.
2023년 직업군인 월급
자세히 살펴보면, 2020년 기준으로 중위 연봉은 세전으로 3300만 원 정도였습니다. 이를 2023년 기준으로 변환하면, 약 15%의 인상률에 의해 3795만 원으로 증가합니다.
그럼 이제 좀 더 구체적인 금액으로 살펴보도록 하겠습니다.

육군 소위 월급
육사 출신 육군 소위 월급은 199만 원부터 시작합니다. 3호봉부터 시작하니까요. 이는 사관학교 출신이라는 특별한 배경과 엄격한 교육 과정을 고려할 때 충분히 이해 가능한 수준입니다. 아니라 육사 출신뿐만 아니라 해군사관학교, 공군사관학교 출신도 동일하게 임관 시 호봉이 3호봉부터 시작합니다.
육군 대위 월급
육사 출신 대위의 경우, 시작 월급은 거의 300만 원에 육박합니다. 이는 일반 공무원이나 대기업 사원들의 월급보다도 상당히 높은 수준입니다. 군인의 위험한 임무와 근무 특성을 고려하면, 이러한 월급 수준은 타당하게 보입니다.
이처럼 군인들의 월급은 군내 계급, 출신 경로 등에 따라 차이가 있으며, 2023년 기준으로 월급은 더 높은 수준으로 변화하고 있습니다.
2023 육군 소위 헬기 조종사 준위, 공군 전투기 파일럿 대위 월급
안녕하세요! 오늘은 우리 군인들의 연봉 체계에 대해 알아보고자 합니다. 특히 육군 소위의 헬기 조종사 준위와 공군 전투기 파일럿 대위들의 월급에 초점을 맞춰 이야기해 보겠습니다. 군인들의 월급은 그들의 업무와 특수성, 위험도에 따라 차등 지급되는 수당들로 구성되어 있습니다. 함께 군인들의 헌신과 노력에 감사의 인사를 전하기 위해 이번 포스팅에서 자세히 살펴보겠습니다.

군인의 월급 체계
군인들의 월급은 민간인과 마찬가지로 기본급에 각종 수당이 더해져 책정됩니다. 군인들의 월급은 다음과 같은 세 가지 요소로 결정됩니다.
- 직급에 따른 기본급: 각 군 종사자들은 자신의 직급에 따라 기본급이 지급됩니다. 높은 직급일수록 기본급이 높아집니다.
- 근속연수에 따른 경력급: 근속연수에 따라 경력급이 추가 지급됩니다. 경력에 따른 보상을 통해 군인들의 경력과 경험을 존중하고 보상합니다.
- 특수근무 수당: 군인이 수행하는 업무의 위험도나 특수성에 따라 차등 지급되는 특수근무 수당이 있습니다. 이에 대해서는 나중에 자세히 살펴보도록 하겠습니다.
공군 전투기 파일럿 대위의 연봉과 수당
공군 전투기 파일럿인 대위의 경우, 월급에는 특수근무 수당 중 항공 수당이 포함됩니다. 항공 수당은 '군인 등의 특수근무 수당에 관한 규칙'에 따라 지급되는 것으로, 각종 항공기를 조종하는 군인들에게 지급됩니다.
- 공군 대위(전투기): 전투기를 조종하는 공군 대위의 경우, 매달 항공 수당으로 87만 원을 받게 됩니다.
- 공군 중위/소위(전투기): 공군 중위와 소위도 전투기를 조종하는 군인으로, 이들에게도 항공 수당이 지급되며, 각각 67만 원입니다.
- 공군 대위(수송기): 또한, 공군 대위가 수송기를 조종하는 경우에도 73만 원의 항공 수당이 지급됩니다.
육군 소위 헬기 조종사 준위의 월급
육군에도 헬기 조종사인 소위 준위들이 있습니다. 헬기를 조종하는 육군 준위들의 월급에는 경력에 따른 항공 수당이 추가됩니다. 경력에 따라 차등 지급되는 수당을 통해 군인들의 경력과 전문성을 보상합니다.
해군 헬기 조종사의 월급
해군에도 헬기 조종사들이 있으며, 이들 역시 항공 수당을 받습니다. 헬기를 조종하는 해군 준위들은 그 위험도 때문에 수당이 상당히 높은 편입니다. 물론 전투함이나 전투정 승무원들에게도 특수근무 수당이 지급되어, 그들의 헌신적인 노력을 보상합니다.
다른 특수근무 수당에는 어떤 것들이 있는지
군인들의 특수근무 수당에는 항공 수당 이외에도 여러 가지 수당이 포함됩니다. '군인 등의 특수근무 수당에 관한 규칙'에는 위험근무 수당이라는 것도 포함되어 있습니다. 이 외에도 해군의 잠수함 승무원들이 받는 위험근무 수당도 있으며, 이러한 수당들을 통해 군인들의 위험하고 특별한 임무 수행에 대한 보상이 이루어집니다.
군인등의 특수근무수당에 관한 규칙 - 위험근무수당의 지급대상 및 지급액







결론
이렇듯 군인들의 연봉은 그들의 업무와 특수성, 위험도에 따라 차등 지급되는 수당들로 구성되어 있습니다. 특히 전투기 파일럿인 공군 대위와 헬기 조종사인 육군 소위 준위들은 그 위험도와 특수성에 비해 충분한 수준은 아니지만, 항공 수당 등을 통해 추가적인 보상을 받게 됩니다. 이러한 월급 체계를 통해 군인들의 헌신과 노력에 보답하고 있으며, 우리나라의 평화를 위해 애쓰는 모든 군인들에게 감사의 인사를 전합니다.
직업 군인들의 월급 체계는 일반 공무원들과 유사하며, 군내 계급과 출신 경로에 따라 월급이 변동됩니다. 2023년 기준으로 중위 연봉이 증가하며, 육군 소위와 대위의 월급 또한 상당한 수준을 보여주고 있습니다. 이러한 금액 변화는 군인들의 역량과 위험한 임무에 대한 보상으로 이해할 수 있습니다. 그러나 군인들이 우리의 안전과 국가의 이익을 위해 헌신하는 노고를 생각할 때, 더 많은 보상이 당연히 논의되어야 할 문제입니다.
'군인 월급 봉급표' 카테고리의 다른 글
| 2023년 군인 특수업무수당 (0) | 2023.10.13 |
|---|---|
| 2024년 공무원 봉급 인상률에 따른 2024 군인 월급 예상: (0) | 2023.09.19 |
| 2021년 군인 봉급표 2021 해군 공군 육군 부사관 상사 하사 중사 월급 (0) | 2021.03.03 |
| 국군 해외파병 월급은 얼마? (0) | 2020.12.18 |
| 2021년 공무원 봉급표 2021 군인 월급 내년 교육공무원 월급표 교원 호봉표 (0) | 2020.09.06 |