올해도 어김없이 가을이 됐습니다.
9월부터 관심이 급증하는 것 중의 한 가지가 바로 내년 급여에 대한 예상입니다.
특히 예측이 쉬운 공무원 급여에 관심들이 많은 편이죠.
2021년 공무원 봉급 인상은 0.9%로 결정됐습니다.
2021년 군인 봉급표 역시 0.9% 인상에 불과할 전망입니다.

병사 월급은 2020년에 33.3%가 인상됐습니다.
위 표는 예전 것이라 잘 모르는 언론사 직원이 1년에 한 번씩 병사 월급 인상표를 만들었지만 병사 봉급은 2년에 한 번씩 인상되고 있습니다.
요즘 또 2021년 병사 월급 인상에 대해 다루던데...정말 그러면 안되죠.
2021년 공무원 봉급 인상률이 겨우 0.9%가 된 이유가 국가 재정 문제 때문인데 일반 사병 봉급을 2년마다 인상하던 원칙까지 깨면서 일반병사 봉급을 25%나 인상해버리면 배신이죠.
PS. 공식 발표된 자료에 따르면 병사 월급도 인상되었습니다. 파격적으로...원래 계획대로 25% 인상은 아니지만 54만원에서 60만원으로 인상됐습니다. 아마 12.5% 정도 인상된 것 같습니다.

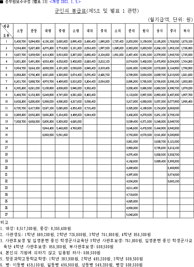
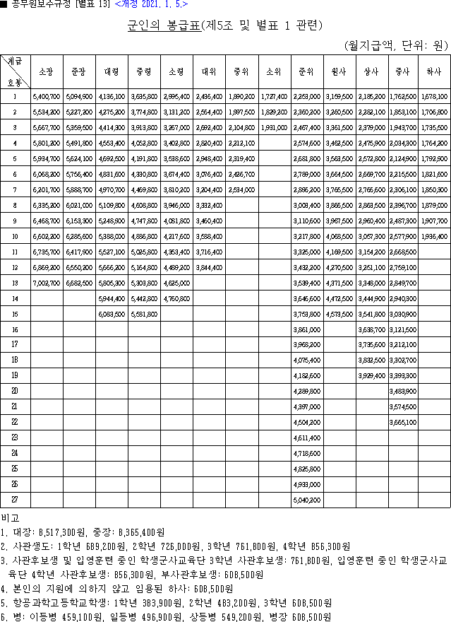
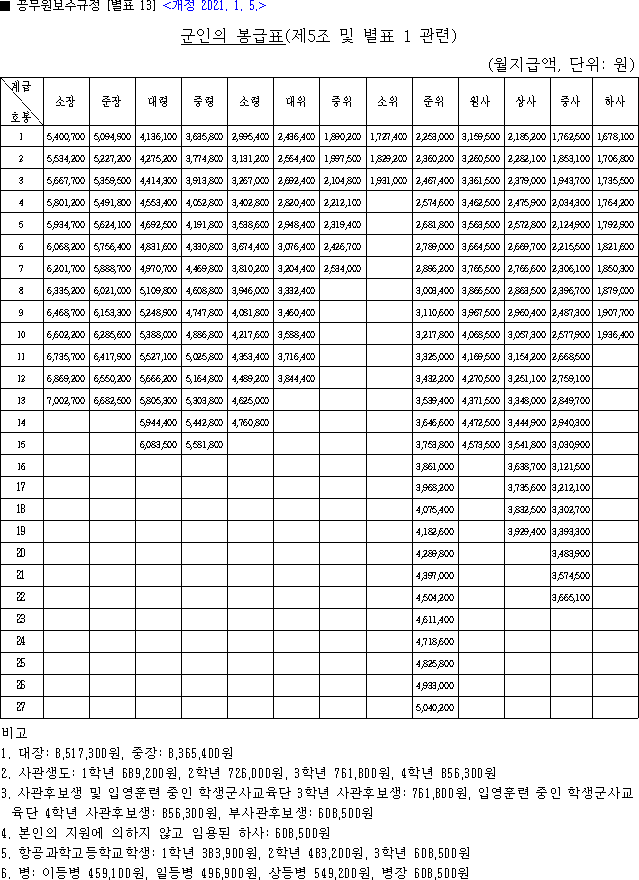
아무튼 09% 군인 임금 인상률을 바탕으로 예상한 내년 2021 직업군인 월급입니다.


2021년 간부 월급 중 하사 1호봉 월급이 167만원으로 얼핏 보면 일반 공무원 9급 1호봉보다 많게 보입니다.
그건 일부 수당이 기본급에 통합되면서 사라져서 그럴 뿐이지 실수령액은 여전히 9급 공무원 실수령액보다 적습니다.
2021년 소위 월급은 172만원으로 이 역시 실수령액으로만 따지면 9급 공무원과 엇비슷한 수준이 될 것입니다.
아래는 예전 글의 일부입니다.
매년 인상되는 글이라 격년에 한번씩 돌려 쓰고 있습니다.(재발행하면서 글 추가)
느닷없이 2019년 공무원 임금 인상률에 대해 글을 쓰려고 합니다.
2019년 공무원 봉급 인상률은 1.8%입니다.
2018년에는 국장급미만은 2.6% 국장급 이상은 2%의 차등인상이 된다고 발표했으나 실제는 계급 상관없이 2.9%가량 인상되었습니다.
그런데 내년 급여 인상이 1.8%만 적용되면 일반직 9급 공무원 1호봉의 시급이 최저시급보다 적은 현상이 나타납니다.
2015 공무원 임금 인상 때는 9급공무원에 한해서 1호봉~4호봉은 4.2%, 3.9%... 3.3%로 차등 인상해서 하위직 공무원의 임금 수준을 현실화하겠다는 취지로 차등 인상했었는데요.
그 정도 인상 해 두고 현실화 되었다고 볼 수 없는 데다가 최저임금보다 적다는 것은 상징적으로도 공무원 사기 저하의 요인이 되겠죠?

아마 내년도 2019 공무원 임금인상률도 연말에 세부적으로 확정될 때는 하위 공무원에 대해서 차등 인상으로 4.x% 대의 인상이 이뤄지지 않을까 살짝 기대해 봅니다.
아직 불확실한 내용으로 계산을 할 수는 없고, 평균적으로 1.8% 인상분 만큼을 적용해서 2019 공무원 봉급표를 예상해 봤습니다.

그런데 2018년 군인월급은 무려 88%가 인상되었고 2019 군인월급도 30% 인상됩니다.
이 엄청난 인상률은 직업군인 월급이 아닌 일반 병사 월급만 해당됩니다.
직업군인 월급은 일반공무원과 마찬가지로 1.8% 인상이 기본이고,
부사관 중에 하사만 1호봉에서 4호봉까지 추가로 차등인상이 적용되지 않을까 예상해 봅니다.

아래는 예상 급여표. 위는 공식 발표자료.


'군인 월급 봉급표' 카테고리의 다른 글
| 국군 해외파병 월급은 얼마? (0) | 2020.12.18 |
|---|---|
| 2021년 공무원 봉급표 2021 군인 월급 내년 교육공무원 월급표 교원 호봉표 (0) | 2020.09.06 |
| 국가대테러특공대 특전사 알파팀 707 특임대 해외파병 월급, 위험근무 수당. 징계 3개월 감봉 규정 (0) | 2020.03.19 |
| 군인 특수 근무수당 해군 잠수함 udt 잠수 특수업무 육군 특전사 강하 공군 전투기조종사 항공 수당 (0) | 2020.02.26 |
| 2020년 공무원 봉급표 내년 20년도 간부 호봉표 2020 직업 군인 월급 (0) | 2019.12.29 |
댓글