다음 주부터 무더위가 기승을 부린다 하더이다.
더운 날씨에 건강 조심들 하세요.
오늘 포스팅할 글은 5급 공무원 연봉, 7급 공무원 연봉, 9급 공무원 월급 등에 관해서입니다.
공무원으로 임용되면 보통 9급, 7급, 5급으로 임용이 됩니다.
보통 공무원 임용은 9급 공무원, 7급 공무원 혹은 행정고시, 기술고시 등의 고시를 통해 임용되는 고위직 공무원인 5급 공무원으로 시작하게 됩니다.
하지만 8급공무원 1호봉이라는 것은 의미가 없는 호봉입니다.
9급 공무원이 임용되자마자 8급 공무원으로 승진할 일은 현실적으로 없죠?
혹시라도 8급공무원으로 경력직이나 간호직공무원 8급으로 임용되면 바로 8급 공무원이 됩니다만...
이 경우에도 호봉은 1호봉일 확률이 적습니다.
왜냐하면 그들은 경력직이니까요. 끄덕.

간호직 공무원일지라도 호봉획정을 통해서 1호봉은 절대 아니게 임용될 가능성이 큽니다.
따라서 8급 공무원 1호봉은 사실 의미가 없습니다.
물론 특이한 케이스가 있을 수 있습니다.
9급 2호봉이 갑자기 8급으로 승진하는 겁니다.
승진할 때 호봉이 감봉됩니다.
9급 2호봉 -> 8급 2호봉 이렇게 승진하는 게 아니라 9급 2호봉 -> 8급 1호봉 이런 식으로 승진이 되므로 이 때는 8급 1호봉이라는 호봉도 의미가 있습니다.
2021년 공무원 월급 표

2015년 일반 공무원 임금표(월급표)

대부분의 일반 행정직 공무원의 임금표이다.
9급 공무원부터 1급 공무원 급여액을 공무원 계급과 호봉에 따라 정리된 2015년 공무원 봉급표이다.
2021년 경찰공무원 봉급표표

2015년 경찰관, 소방관 봉급표

경찰공무원과 소방공무원의 기본급 호봉표는 동일하다.
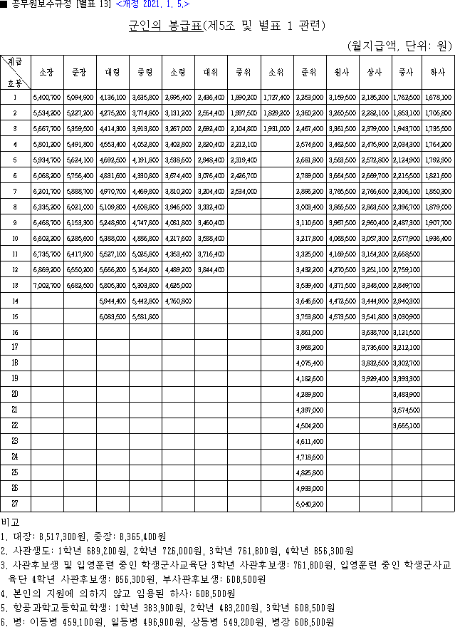
2021년 군인 봉급표

2021 병장 월급 60만원 시대. 이병 월급도 46만원.

군인의 임금표는 부사관과 장교가 한 봉급표에 작성되어 있다.
2015년도 이병 월급은 13만 원 정도, 일병 월급은 14만 원, 상병 월급은 15만 5천 원, 병장 월급은 17만 원 정도이며, 이 월급은 의무경찰 및 전투경찰, 의무경비교도, 의무소방대원들의 월급의 기준이 된다.
의무 경찰 계급은 이경, 일경, 상경, 수경 순서대로 군인 이병 월급부터 병장월급까지 일치한다.

2015 교사 및 교원 봉급표.

교사 및 교원은 계급이 별도로 없다.
물론 평교사, 학생주임이나 학생부장 그리고 교감, 교장의 계급이 있는 것으로 보이지만, 교사의 월급표에서는 계급 구분이 없다.
연금을 받는 사람들은 매년 연금 인상이 이뤄지고 있습니다.
일반 개인연금은 모르겠지만, 사학연금, 공무원연금, 군인연금 등은 매년 물가 상승률에 맞춰서 연금 인상률이 조정됩니다.
매년 말이 되면 퇴역군인이나 퇴역을 생각하는 군인들은 내년 군인연금 인상률을 궁금해합니다.
그런데... 솔직히 이미 퇴역해서 연금 수령 나이의 연로하신 분들이 궁금해하는 것인지는 모르겠습니다.
그런 분들이야 느긋하게 오르면 오르고 말면 말고 따박따박 나오는 것만으로도 만족하는데 말이죠.
'직업,공무원 정보' 카테고리의 다른 글
| 근로기준법 월차 발생 기준 월차 연차 뜻 (0) | 2024.07.15 |
|---|---|
| 김용현 경호처장 프로필 육사 38기 예비역 중장 (0) | 2024.03.05 |
| 공감능력을 상실한 황당한 공익광고들. jpg (0) | 2021.03.04 |
| 2020년 공무원 봉급표 2020 교사 호봉표 교육공무원 교원 연구직 지도직 공안직 공무원 판사 검사 월급표 20년 대통령 연봉 (0) | 2020.07.29 |
| ✔ 2018 군인 월급표 (0) | 2018.01.09 |