반응형
2020년 공무원 봉급표 2020 교사 호봉표 교육공무원 교원 연구직 지도직 공안직 공무원 판사 검사 월급표 대통령 연봉

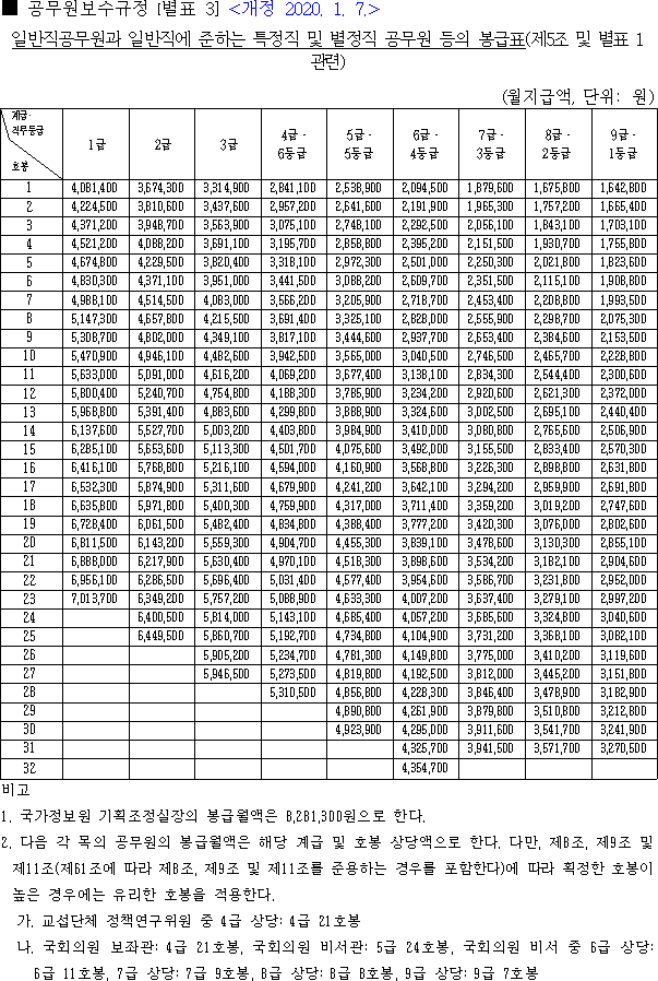
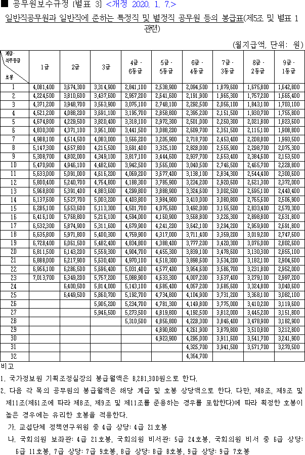
일반직렬 2020 공무원 봉급표

2020년 경찰 공무원 봉급표 2020 소방공무원 봉급표

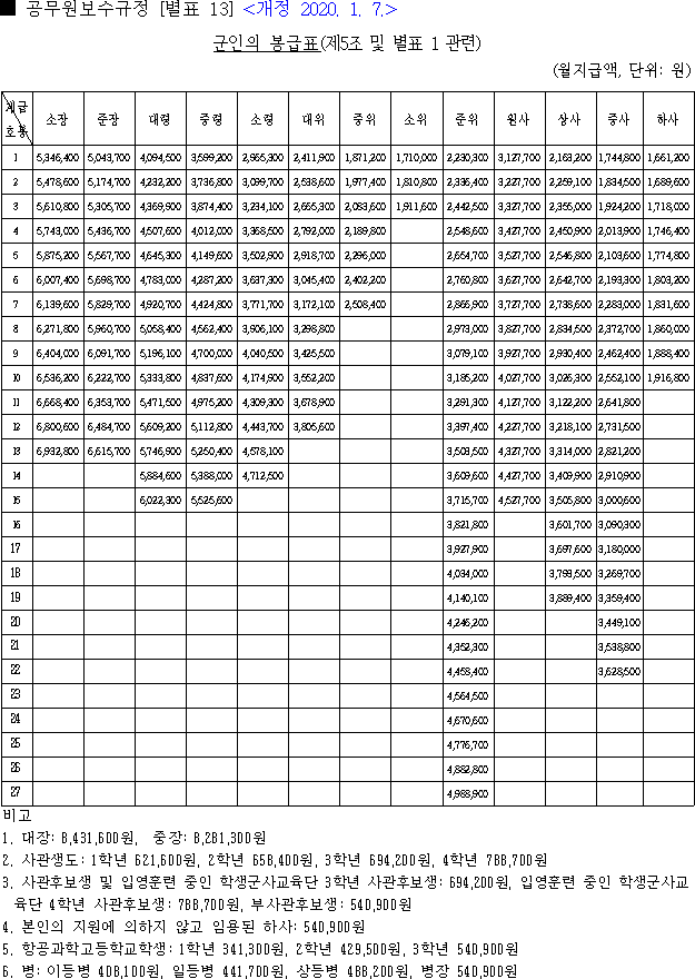
2020 군인 월급

2020 교원 봉급표 2020 교사 월급

집배원 월급 2020 우정직 공무원 봉급표

마약수사관 출입국관리 검찰 수사관 등 2020년 공안직 공무원 봉급표

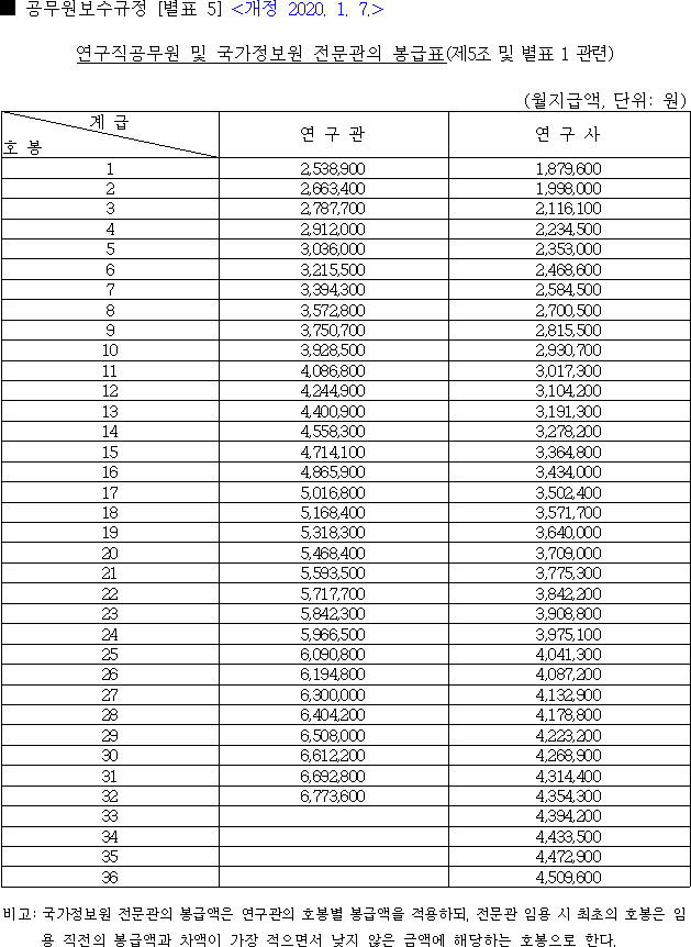
2020 국정원 직원 봉급표(국가 정보원 전문관 월급) 2020년 연구직 공무원 봉급표

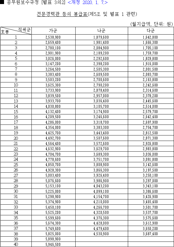
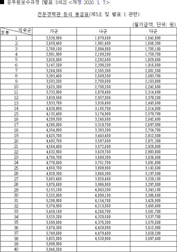
2020년 전문경력관 봉급표

2020 지도직 공무원 호봉표

20년 교수 연봉

헌법연구관 봉급표

2020년 검사 연봉 계산을 위한 2019 검사 월급

2020 판사 월급

2020년 대통령 연봉, 국무총리 연봉, 장관 연봉
출처: https://yrungul3.tistory.com/entry/2020년-공무원-봉급표-2020-교사-호봉표-교육공무원-교원-연구직-지도직-공안직-공무원-판사-검사-월급표-20년-대통령-연봉 [한글 2018 무료설치 - 다운로드]
반응형
'직업,공무원 정보' 카테고리의 다른 글
| 김용현 경호처장 프로필 육사 38기 예비역 중장 (0) | 2024.03.05 |
|---|---|
| 2021년 공무원 월급표 2021 군인 봉급표 (이병,병장, 중사, 하사 월급, 소위,중위,대위 월급) 경찰 순경, 교원 교사 호봉표. 5급 7급 공무원 연봉 (0) | 2021.07.16 |
| 공감능력을 상실한 황당한 공익광고들. jpg (0) | 2021.03.04 |
| ✔ 2018 군인 월급표 (0) | 2018.01.09 |
| 2018년 교육공무원 봉급표 18년 군인월급 (0) | 2017.12.13 |