본문 바로가기
직업,공무원 정보

2020년 공무원 봉급표 2020 교사 호봉표 교육공무원 교원 연구직 지도직 공안직 공무원 판사 검사 월급표 20년 대통령 연봉

by 예비역역공군병장김수달 2020. 7. 29.
반응형

2020년 공무원 봉급표 2020 교사 호봉표 교육공무원 교원 연구직 지도직 공안직 공무원 판사 검사 월급표 대통령 연봉

 

일반직렬 2020 공무원 봉급표

2020년 경찰 공무원 봉급표 2020 소방공무원 봉급표

 

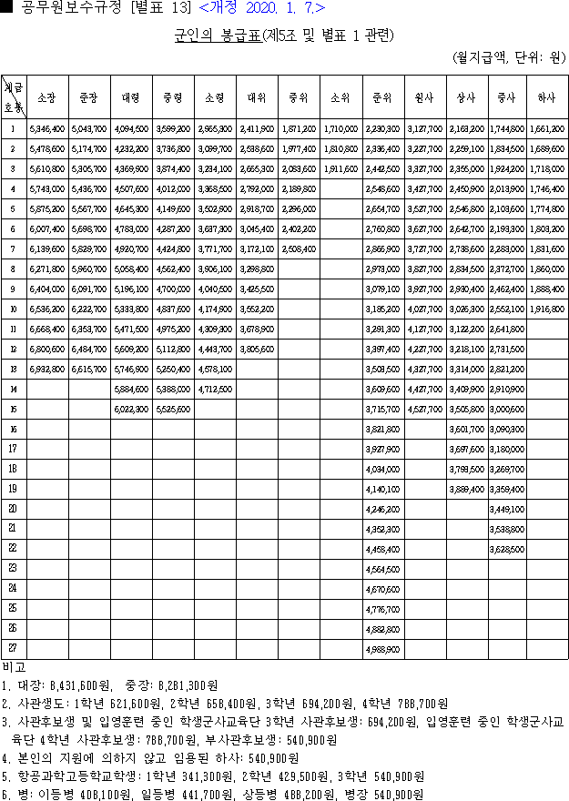
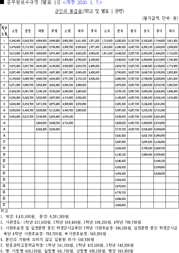
2020 군인 월급

2020 교원 봉급표 2020 교사 월급

집배원 월급 2020 우정직 공무원 봉급표

 

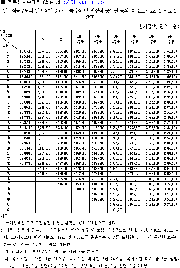
마약수사관 출입국관리 검찰 수사관 등 2020년 공안직 공무원 봉급표

 

 

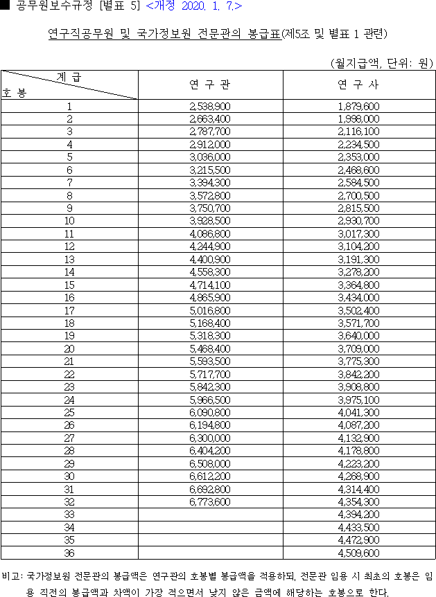
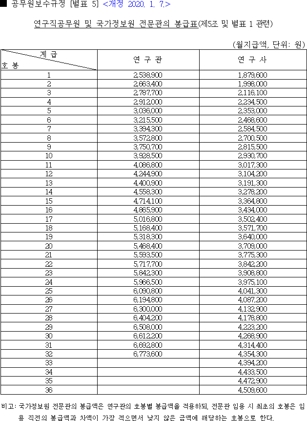
2020 국정원 직원 봉급표(국가 정보원 전문관 월급) 2020년 연구직 공무원 봉급표 

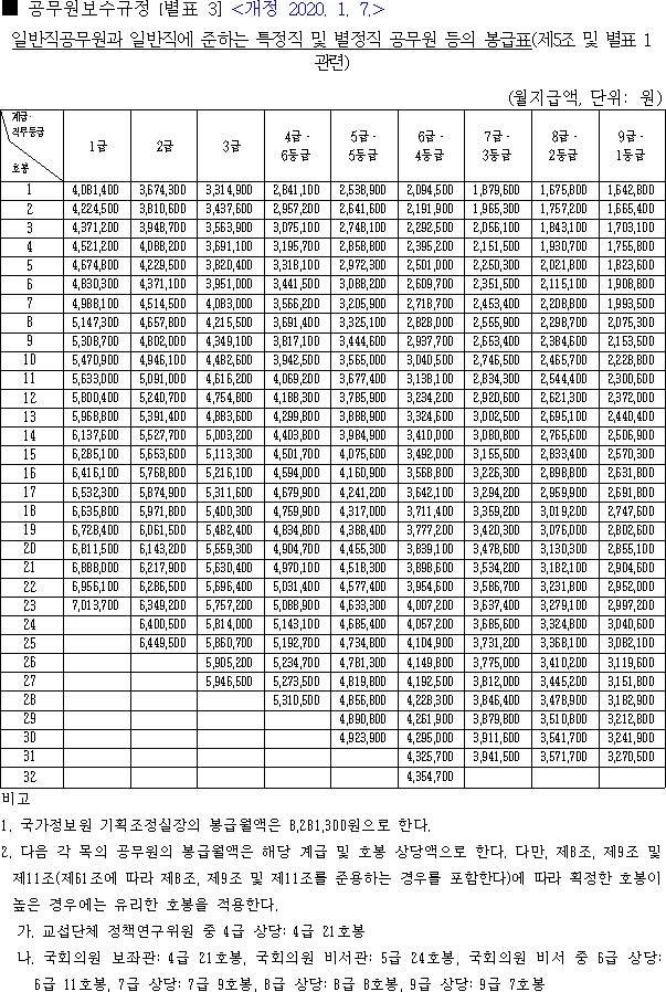
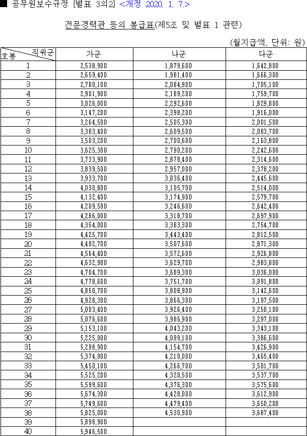
2020년 전문경력관 봉급표

2020 지도직 공무원 호봉표

20년 교수 연봉

헌법연구관 봉급표

 

2020년 검사 연봉 계산을 위한 2019 검사 월급

2020 판사 월급

2020년 대통령 연봉, 국무총리 연봉, 장관 연봉

 



출처: https://yrungul3.tistory.com/entry/2020년-공무원-봉급표-2020-교사-호봉표-교육공무원-교원-연구직-지도직-공안직-공무원-판사-검사-월급표-20년-대통령-연봉 [한글 2018 무료설치 - 다운로드]

반응형