안녕하세요 이웃님들!
올해 2019년 12월에 접어들게 되면서 많은 분들이 2020년을 준비하고 계실텐데요!
특히 가장 많은 관심을 가지게 되는 2020년 공무원 급여!
얼마나 되는지 알아보도록 하겠습니다~!
먼저 2020년 공무원 급여를 알아보기 전, 해당 보수체계가 어떻게 되어있는지 알아보도록 하겠습니다.
공무원은 크게 수당과 봉급 두가지로 나누게 되며 봉급이 일반적으로 알고있는 급여 입니다!
하지만 거기에 수당을 더하면 더 많은 금액을 받게 되는 것인데 수당의 경우 상여수당, 가계보전수당, 특수지근무수당, 특수근부수당, 초과근무수당 등 다양한 종류로 나눠져 있습니다 :)
특히 공무원 수당도 각 수당마다 지급대상이 조금씩 다른 모습을 볼 수 있는데요.
각 급수에 따라서 조금씩 달라지기도 하며, 지급 대상이 모두 나눠져 있기 때문에 해당되는 사람에게만 지급을 하고 있습니다!
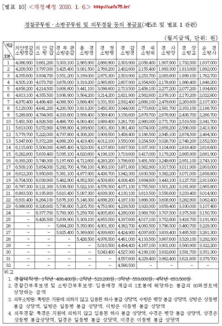
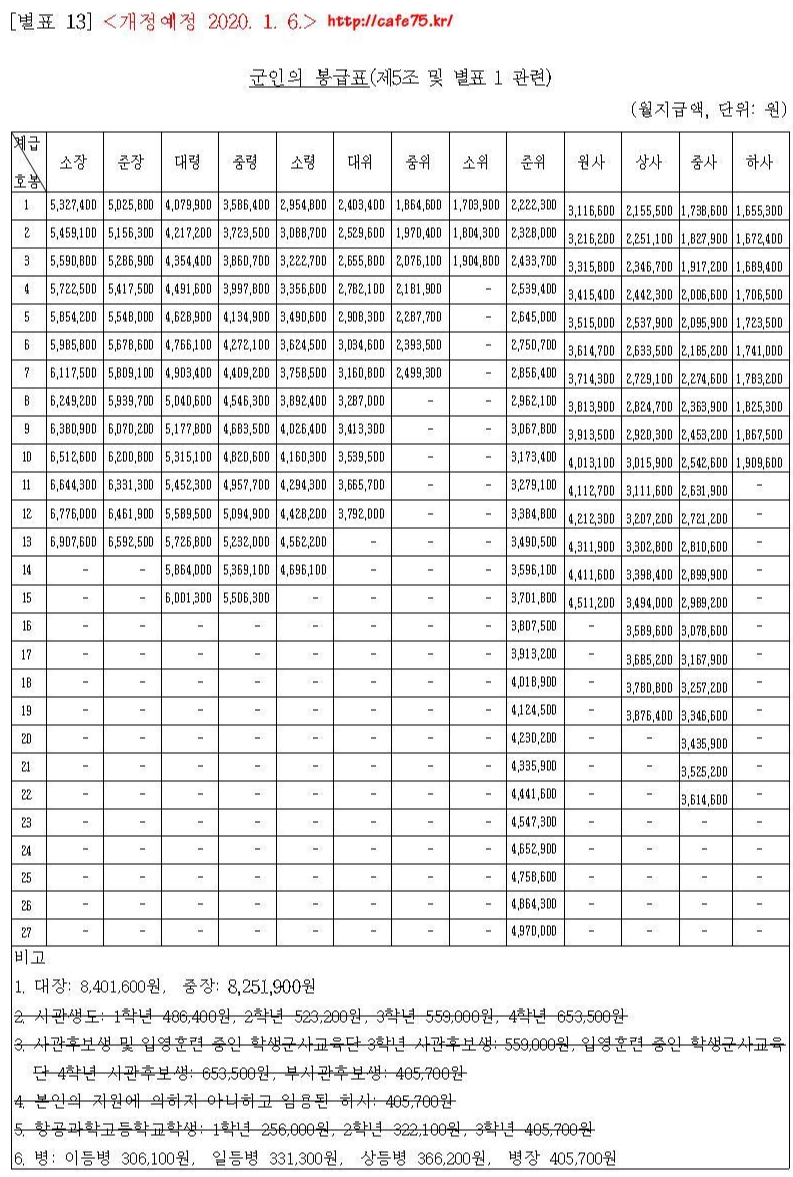
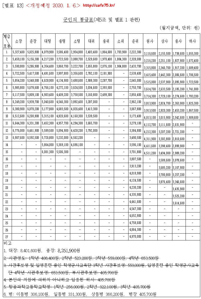
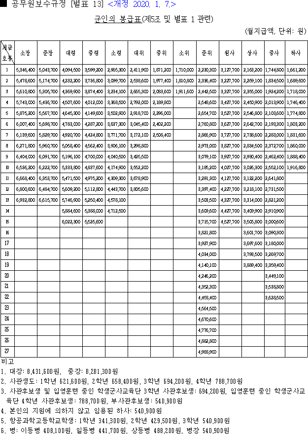
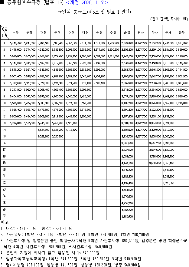
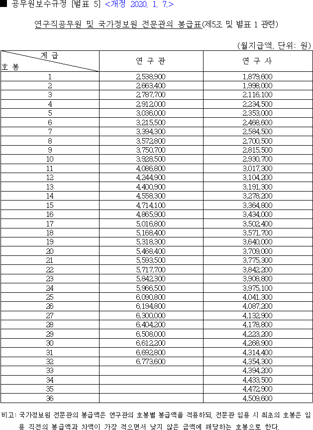
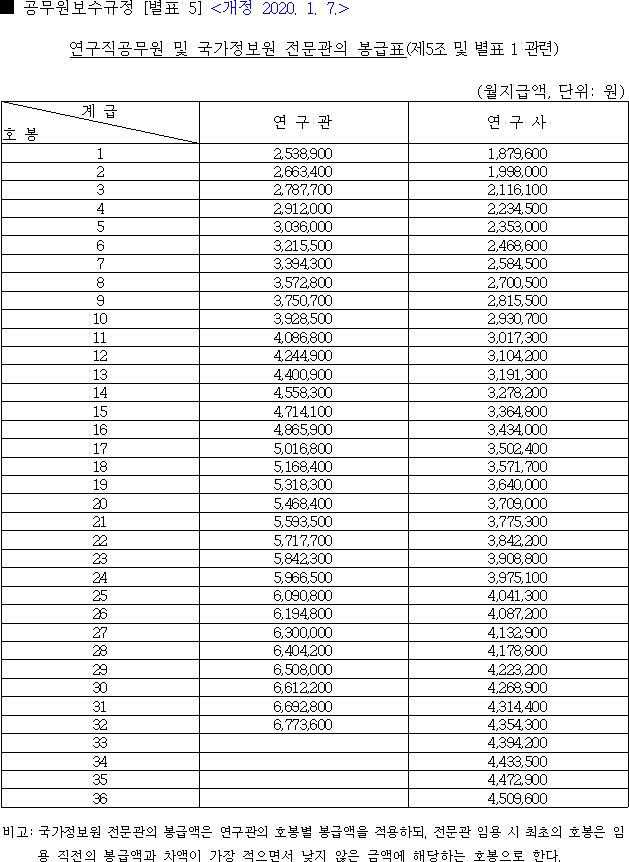
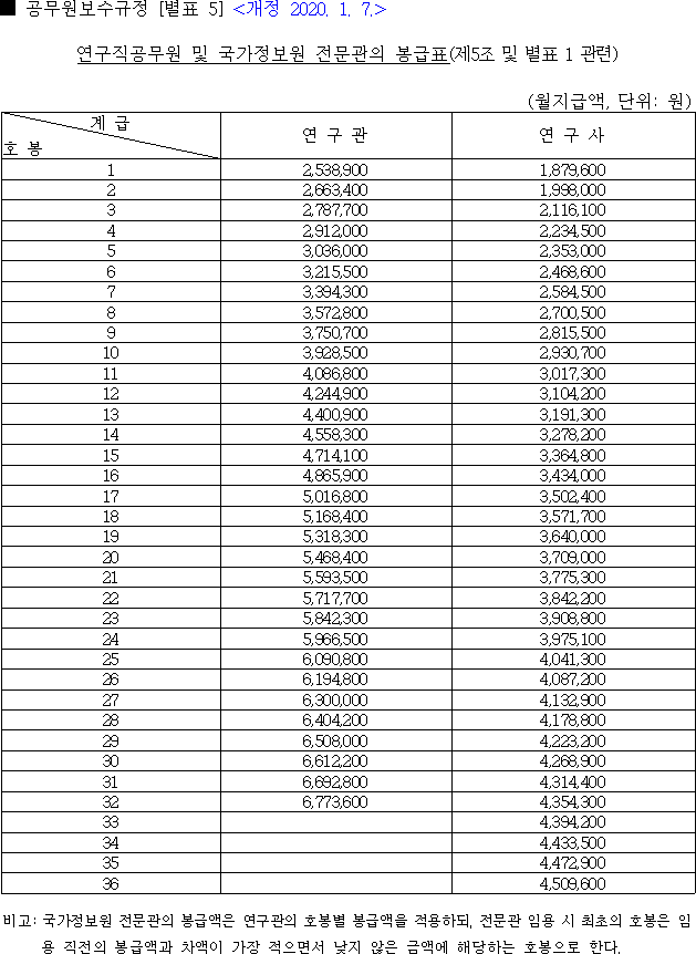
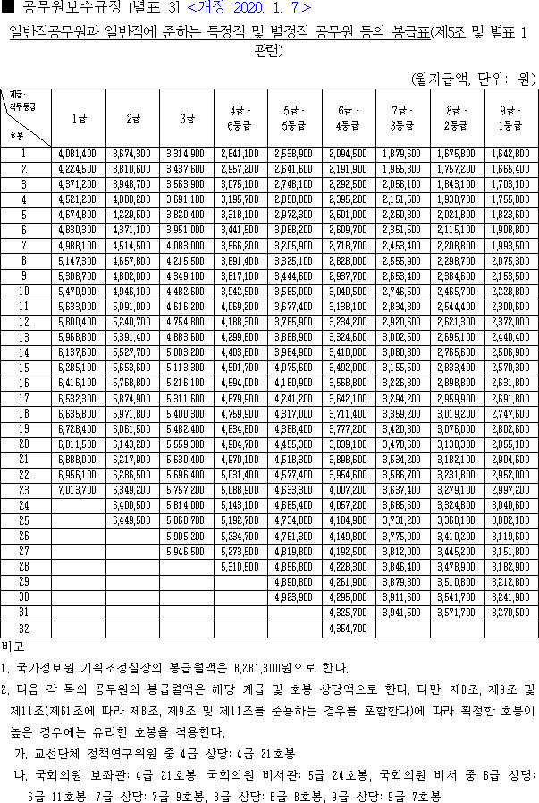
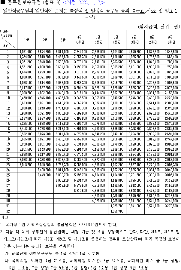
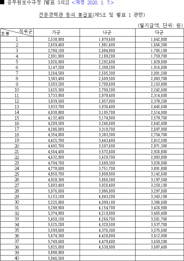
1월7일 개정된 공무원 보수 규정의 정식 별첨 봉급표는 글 끝에 첨부해 둡니다.

자세한것은 위 표를 참고해주세요~
2020년 공무원 급여는 9급공무원 1호봉 기준 1,592,400원으로 지정되어 있으며 각 급수와 호봉에 따라서 급여가 달라지게 됩니다!
때문에 많은 수험생들이 더 높은 급수로 임용하길 원하는 것도 그 이유 때문인데요~!
2019년에 비해서 1.8% 인상된 모습을 보였었습니다.
그렇다면 2020년 공무원 급여는 어떨까요?
곧 다가올 2020년에는 9급공무원 1호봉이 1,637,000원을 받게 됩니다!
2019년에 비해서 2.8% 인상이 된다고 합니다.
2020년 공무원 급여가 궁금하신 분들은 참고하시길 바랍니다.
20년 경찰공무원 봉급표
2020년 경찰 공무원 봉급표 2020 소방공무원 봉급표


2020년 직업 군인월급 2020 간부 월급

위는 2020년 군인 봉급표 중에서 직업군인 월급만 보면 됩니다.
표에 나온 병사의 월급은 2019년 급여입니다.
2018년에 인상되고 2019년에 동결되었습니다.
2020년 일반 병사 월급은 33% 인상되어 병장 월급이 54만 원, 넘을 전망입니다.













'군인 월급 봉급표' 카테고리의 다른 글
| 2021년 공무원 봉급표 2021 군인 월급 내년 교육공무원 월급표 교원 호봉표 (0) | 2020.09.06 |
|---|---|
| 2021년 군인 봉급표 2021 직업군인 월급 장교 소위월급 간부월급 (0) | 2020.08.18 |
| 국가대테러특공대 특전사 알파팀 707 특임대 해외파병 월급, 위험근무 수당. 징계 3개월 감봉 규정 (0) | 2020.03.19 |
| 군인 특수 근무수당 해군 잠수함 udt 잠수 특수업무 육군 특전사 강하 공군 전투기조종사 항공 수당 (0) | 2020.02.26 |
| 최정예 러시아 특수부대 스페츠나츠와 한국의 인연 (0) | 2019.11.08 |
댓글