태양의 후예는 특전사를 다루고 있어서 태양의 후예 특전사에 대해서 관심들이 많았죠.
그전에 짚고 넘어가야 할 부분이, 지금 현재 태양의 후예에서 우르크 파병부대인 태백 부대가 배경으로 나왔는데요.
우르크 태백부대는 특전사 부대가 아니죠.

국가 대테러특공대로 활약하던 특전사 알파팀에서 휴가까지 반납하고 고생한 특전사 알파팀에게 휴가를 주기 위해서 일반 부대인 태백 부대로 파견 나가서 우르크로 파병 간 것으로 그려지고 있죠.

특전사 팀에는 일반 사병은 없어요.
태백부대에는 소매치기 짓을 하다가 서대영 상사에게 감화되어 입대한 김기범 일병이 태백 부대에서 복무 중으로 나오죠.

김기범 일병은 특전사가 아닌 일반 부대에서 지원해서 파병간 군인일 뿐입니다.
보통 파병수당에 대해 월 300만원은 거뜬히 받는다는 둥의 낭설이 떠도는데요.

군인 및 군무원의 해외파견근무수당 지급규정의 별표로 첨부된 군인의 해외 파병 월급은 군인 및 군무원 해외파견근무수당의 지급기준금액에 파병지의 위험 정도와 등급 그리고 환율에 따라 소폭 변동될 뿐 위의 표와 같이 지급받습니다. (달러 기준입니다.)
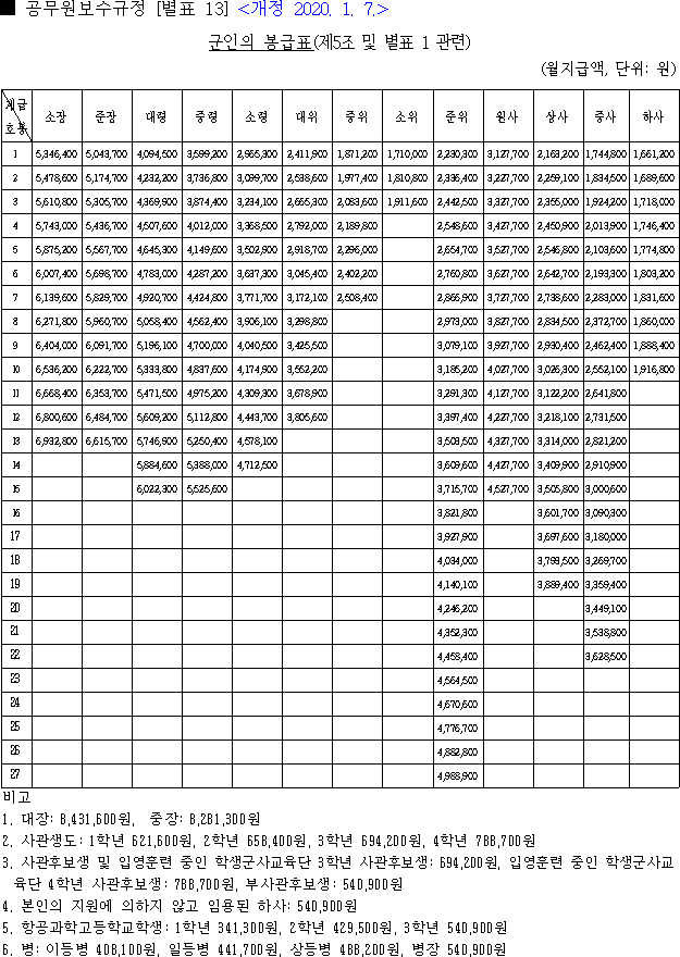
그리고 주인공인 유시진 대위와 조연인 서대영상사가 속한 특전사 월급에 대해 궁금해하시는 분들이 많던데요.
일 전에 쓴 글에서도 지적했다시피 기본급은 특전사건 아니건 동일한 기본급을 받아요.

물론 계급과 호봉에 따라 다른 것은 당연하겠죠?
특전사라고 해서 조금 더 받게 되는 월급은 수당이죠.
대체로 위험근무수당이 일반 병과 장교나 부사관에 비해서 많은 편인데요.
하는 일에 비해서는 그리 많다고 보기도 힘들죠.
이 위험수당은 태양의후예 알파팀이건 707 특임대건 그냥 일반 특전사 군인이건 차이가 없습니다.
참, 태양의후예에서 707 특임대에 대해 언급된 적은 없는 것 같은데요.
태양의 후예 알파팀의 역할이 특전사 707 특임대의 임무와 가장 비슷해서 많이들 관심 갖는 것 같네요.
다만 일년에 낙하산 강하를 몇 번 하느냐, 낙하산을 타지는 않고 로프 강하만 하느냐에 따라 위험수당 등급이 달라서 월 지급받는 액수가 달라집니다.
위험근무수당은 아래의 표에 따릅니다.


그리고 근무시간 이외에 추가로 근무하게되는 시간 외 근무 수당 정도가 특전사의 수당이 일반 군인과 차이점이 되겠지요?
그렇게 많은 돈을 받는 것도 아닌데, 왜 군인들은 그 힘들고 고된 훈련을 이기고 특전사가 되려고 할까요?
태양의 후예에서도 유시진 대위가 장군 승진의 길을 탄탄하게 달리던 것으로 묘사되어있는데요.
힘들고 어려운 병과일 수록 승진이 용이하기 때문이기도 합니다.
특히 특전사 부사관들의 승진은 타 부사관들에 비해서 월등히 빠르다고 합니다.
그런 현실적인 이유 이외에도, 특전사에 지원하시는 분들은 남다른 애국심과 명예에 대한 욕심이 높다고 해요.
상남자들이잖아요~
태양의후예 4회에서 징계위원회에 회부된 유시진 대위는 3개월 감봉이라는 징계를 받고, 진급심사 누락이 되죠.
2가지 벌을 받은 것은 아니에요.
보통 공무원의 승진 임용 제한 요건이 최근 1년 이내에 징계 만료가 끝나야 하기 때문에, 곧 있을 진급심사에서 누락되는 것은 자동 옵션으로 따라온 것이죠.
3개월 감봉 처분되었으니, 12개월+3개월간은 승진을 할 수 없습니다.
감봉이라는 징계는 징계기간 동안 월급의 1/3을 감해서 지급하는 것을 뜻합니다.
'군인 월급 봉급표' 카테고리의 다른 글
| 2021년 공무원 봉급표 2021 군인 월급 내년 교육공무원 월급표 교원 호봉표 (0) | 2020.09.06 |
|---|---|
| 2021년 군인 봉급표 2021 직업군인 월급 장교 소위월급 간부월급 (0) | 2020.08.18 |
| 군인 특수 근무수당 해군 잠수함 udt 잠수 특수업무 육군 특전사 강하 공군 전투기조종사 항공 수당 (0) | 2020.02.26 |
| 2020년 공무원 봉급표 내년 20년도 간부 호봉표 2020 직업 군인 월급 (0) | 2019.12.29 |
| 최정예 러시아 특수부대 스페츠나츠와 한국의 인연 (0) | 2019.11.08 |
댓글