23년 직업군인 월급 대령 월급 실수령액 연봉
대령 월급의 구성 요소와 실수령액 파악
2023년, 직업군인의 월급은 단순히 기본급에 국한되지 않습니다. 다양한 수당과 보조금이 포함되어 개인별로 차이가 발생합니다. 특히 대령과 같은 고위 장교의 경우, 여러 요소들이 월급에 영향을 미칩니다. 이 글에서는 ROTC를 통해 장교가 된 경우를 기준으로, 그들의 월급 구성과 예상 연봉을 상세히 분석해보겠습니다.

장교 월급의 다양한 요소
장교 월급은 기본급 외에도 여러 수당이 포함됩니다:
- 정근수당 및 가산금: 장기복무 장교에게 적용되는 추가 수당입니다.
- 가족수당, 주택수당, 특수지근무수당: 가족 상황, 근무 환경에 따른 추가 수당입니다.
- 위험근무수당, 시간외근무수당, 관리업무수당: 특수한 근무 상황에 대한 보상입니다.
- 정액급식비, 명절휴가비, 연가보상비, 직급보조비: 일상적인 생활 지원을 위한 수당들입니다.
대령 연봉의 산정
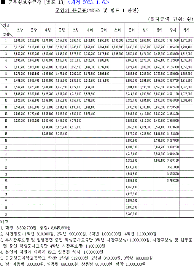
대령의 연봉을 산정할 때, 이러한 다양한 수당들을 포함하여 계산합니다. 예를 들어, 23년차 대령의 경우, 총 봉급은 약 10.70천만 원이며, 여기에서 공제를 제외한 실수령액은 약 8.70천만 원으로 추산됩니다.



군인 월급의 과세 및 지출 분석
군인 월급에서 공제되는 주요 항목으로는 소득세, 건강보험료, 노인장기요양보험료, 기여금 등이 있습니다. 이러한 공제들은 월급여액에서 자동으로 차감됩니다.
실수령액 예시: 23년차 대령
2001년에 임관한 23년차 대령의 경우, 월평균 급여는 549만 원에서 562만 원 사이입니다. 여기에 수당 및 실비보조를 포함하면 월 평균 수령액은 약 725만 원으로 추정됩니다.

직업군인, 특히 대령과 같은 고위 계급의 월급 및 연봉은 다양한 요소에 의해 영향을 받습니다. 이러한 요소들을 종합적으로 파악하고 분석하는 것이 중요합니다. 이를 통해 군 복무 중인 개인의 실제 수입을 정확히 이해할 수 있습니다.
키워드
직업군인, 대령 월급, 2023년 군인 월급, 군인 수당, ROTC, 군인 연봉, 월급 구성 요소, 실수령액, 공제 항목, 성과상여금, 건강보험료, 기여금, 군인보수 인상률, 월급여액 계산.
'군인 월급 봉급표' 카테고리의 다른 글
| 2024년 공무원 군인 직급보조비 인상 무산과 장군 차량 감액 기준 (0) | 2024.02.19 |
|---|---|
| 2024년 병사 월급, 군대 복무기간 (0) | 2024.01.07 |
| 2023년 군인 특수업무수당 (0) | 2023.10.13 |
| 2024년 공무원 봉급 인상률에 따른 2024 군인 월급 예상: (0) | 2023.09.19 |
| 2023년 직업군인 월급 육군 소위 헬기 조종사 준위, 공군 전투기 파일럿 대위 월급 2023 군인 봉급표 (0) | 2023.07.24 |