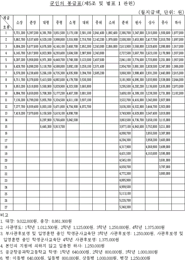
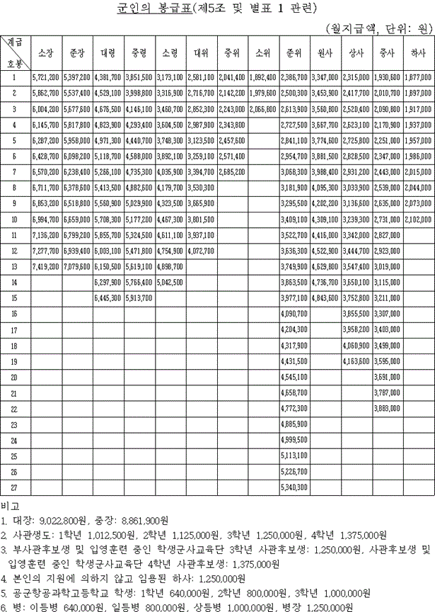
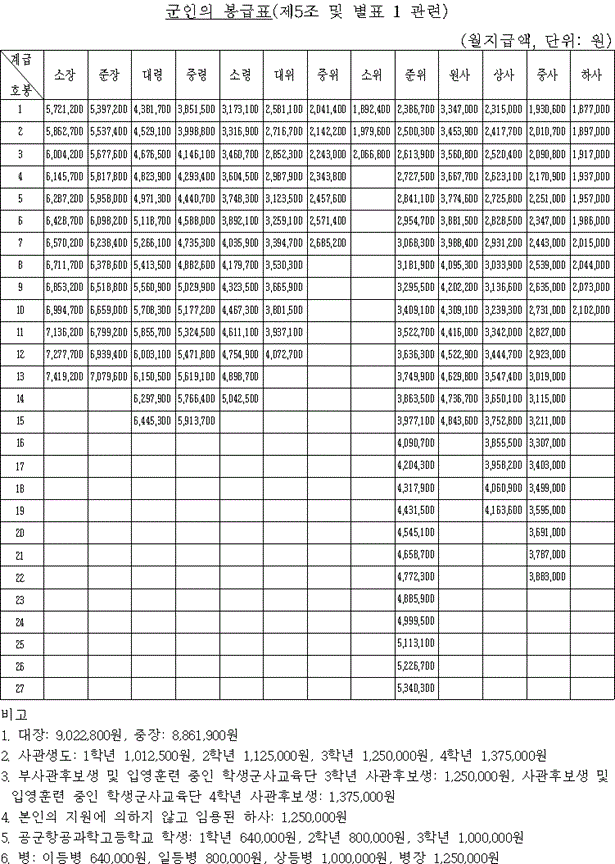
2024년 군인 월급 2024 군인 봉급표
2024년 군인 월급이 대폭 인상되면서 많은 사람들의 관심을 받고 있습니다. 특히 병장 월급이 165만원(자산형성프로그램 포함)까지 올랐다는 소식은 큰 충격을 주고 있습니다. 2025년에는 최대 205만원까지 인상될 예정이라고 하니, 군인 월급 인상에 대한 관심은 더욱 커질 것으로 예상됩니다. 이번 글에서는 년도 별 군인 월급과 군인 임금 인상에 따른 자산형성 프로그램까지 상세히 분석해 보도록 하겠습니다.
2024년 군인 병장 임금 125만원 시대

지난 1일부터 병역의무 이행에 대한 보상과 예우를 강화하기 위해 군인 장병의 봉급이 병장 기준 월 125만원으로 인상되었습니다. 이러한 인상은 단순히 금전적인 보상뿐만 아니라, 병역의무를 수행하는 장병들의 사기를 진작시키기 위한 조치로 해석될 수 있습니다.
군인 임금 인상에 대한 여론


군인 임금 인상에 대한 여론은 찬반이 엇갈리고 있습니다. 징집된 군인을 직업인으로 봐서 급여를 인상해야 한다는 의견도 있지만, 이는 직업군인인 간부들의 근로의욕과 사기에 영향을 줄 수 있다는 우려도 있습니다. 뉴스나 기사에서도 이러한 문제가 계속해서 언급되고 있습니다. 군인들의 연봉은 그들의 업무와 위험도에 따라 차등 지급되는 수당들로 인해 크게 차이가 납니다. 특히 전투기 조종사인 공군 대위들은 그 위험도와 특수성에 비해 충분한 수준은 아니지만, 항공 수당 등을 통해 추가적인 보상을 받게 됩니다. 이러한 보상 체계는 군인들의 업무와 임무의 특수성을 반영한 것입니다.
2024년 군인 월급 2024 군인 봉급표
의무복무를 하는 병사들의 계급별 월급표를 살펴보면, 2023년 대비 4만원에서 많게는 25만원까지 급여가 인상되었습니다. 아래는 2024년 기준 병사들의 계급별 월급입니다.
- 이병: 64만원
- 일병: 80만원
- 상병: 100만원
- 병장: 125만원
부사관 월급
부사관의 경우, 1호봉 1년차 기준 월급은 다음과 같습니다.
- 하사: 187만원
- 중사: 193만원
- 상사: 232만원
부사관 월급은 직급과 경력에 따라 차등 지급됩니다.
위관장교 월급
위관장교의 월급은 다음과 같습니다.
- 소위: 189만원
- 중위: 204만원
- 대위: 258만원
위관장교 역시 경력에 따라 월급이 차등 지급됩니다.
영관장교 월급
영관장교의 월급은 다음과 같습니다.
- 소령: 317만원
- 중령: 385만원
- 대령: 438만원
장성장교 월급
장성장교의 월급은 다음과 같습니다.
- 준장: 539만원
- 소장: 572만원
- 중장: 8,861,900원
- 대장: 9,022,800원
이 월급 예시는 각 계급의 1호봉의 급여를 나열한 것으로, 실제로는 승진 시 감봉이 이루어지긴 하지만 결코 각 계급의 1호봉이 되진 않습니다. 예를 들어, 소위도 육사, 공사, 해사 같은 사관학교 출신 소위는 3호봉부터 시작합니다. 진급 시에도 중위 3호봉, 대위 5호봉 정도가 되며, 실질적으로 소장쯤 되면 최소 10호봉에서 시작합니다. 이때 월급은 약 700만원 정도가 됩니다. 이는 중장 진급 시에도 별 차이가 나지 않도록 하기 위함입니다.
자산형성 프로그램
군인 월급 인상과 함께 자산형성 프로그램도 강화되고 있습니다. 이 프로그램은 장병들이 군 복무 중에도 자산을 효율적으로 관리하고 성장시킬 수 있도록 도와주는 제도입니다. 예를 들어, 월급의 일부를 저축하거나 투자할 수 있는 다양한 금융 상품을 제공하여 장병들이 경제적인 안정을 찾을 수 있도록 지원합니다. 이러한 프로그램은 장병들의 복지 향상에 기여할 뿐만 아니라, 전역 후 사회 진출 시에도 큰 도움이 됩니다.
마무리
2024년 군인 월급 인상은 단순한 금전적 보상을 넘어, 장병들의 복지와 사기를 증진시키기 위한 중요한 조치입니다. 특히 병사들의 월급 인상과 자산형성 프로그램의 강화는 장병들이 경제적으로 안정된 생활을 할 수 있도록 도와줍니다. 앞으로도 군인 월급 인상과 관련된 다양한 정책들이 지속적으로 논의되고 개선되기를 기대합니다.
키워드: 군인 월급, 2024년 군인 월급, 병장 월급 인상, 군인 임금 인상, 자산형성 프로그램, 의무복무 병사 월급, 부사관 월급, 위관장교 월급, 영관장교 월급, 장성장교 월급
'군인 월급 봉급표' 카테고리의 다른 글
| 2025년 ROTC 대령 진급자 명단, 육군, 해군, 공군, 해병대 ROTC별 진급자 명단 (0) | 2024.09.06 |
|---|---|
| 2025년 군인 월급 2024 봉급표 (0) | 2024.09.01 |
| 2024년 공무원 군인 직급보조비 인상 무산과 장군 차량 감액 기준 (0) | 2024.02.19 |
| 2024년 병사 월급, 군대 복무기간 (0) | 2024.01.07 |
| 23년 직업군인 월급 대령 월급 실수령액 연봉 (0) | 2023.11.13 |
댓글