반응형
2025년 대우공무원수당 조견표, 6급 소요기간, 규정
대우공무원 제도는 승진 정체로 동기 부여가 어려운 공무원들에게 상위 계급에 준하는 경제적 보상을 제공해 조직 활력을 높이기 위해 도입되었습니다. 2024년 6월 27일 지방공무원 인사제도 운영지침이 개정되면서 특히 6급 이하 공무원의 선발 기준이 완화되어, 2025년에는 더 많은 실무자가 혜택을 누릴 전망입니다.


이번 포스팅에서는 2025년 적용 예정 조견표와 6급 규정에 초점을 맞춰 이해하기 쉽게 정리했습니다.
대우공무원 규정의 핵심 개념
- 정의: 일정 근무기간을 충족한 공무원을 상위 계급에 상당하는 처우로 예우해 주는 인사·보수 제도.
- 도입 배경: 1990년대 승진 적체 완화 및 사기 진작 목적.
- 수당 산정 식: 상위 계급 원봉급액의 4.1%를 현 직급 봉급에 가산. 단, 합산액이 상위 직급 월봉급을 초과하면 초과분은 조정.
대우공무원수당=해당직급 원봉급액×0.041
2025년 대우공무원수당 조견표
일반직 공무원(발췌)

| 호봉 | 6급 대우공무원수당 | 7급 대우공무원수당 | 8급 대우공무원수당 | 9급 대우공무원수당 |
| 2 | 102,070 | 73,610 | 87,300 | 11,540 |
| 10 | 141,520 | 125,090 | 111,460 | 103,000 |
| 20 | 178,690 | 162,890 | 145,780 | 129,740 |
| 30 | 193,160 | 176,990 | 160,650 | 145,480 |
| ※ 2024년표 × 1.03 적용, 단위: 원 | ||||
직종별 가산 구조 한눈에 보기
- 공안업무 등 종사자: 일반직 대비 약 10% 높은 기준 수당.
- 경찰·소방공무원: 위험수당 포함, 7급 기준 최대 170,000원 선.
- 우정직: 물류·집배 특수성 반영, 6급 15호봉 기준 145,700원.
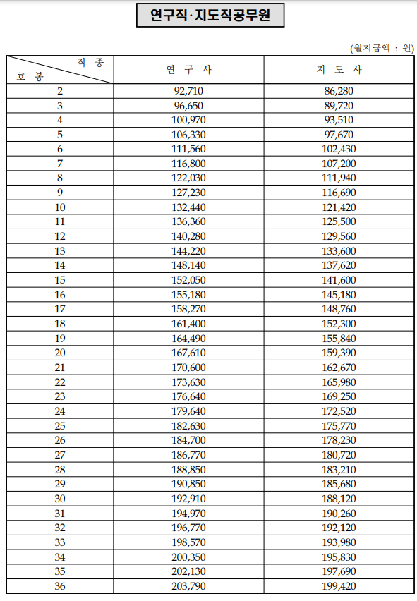
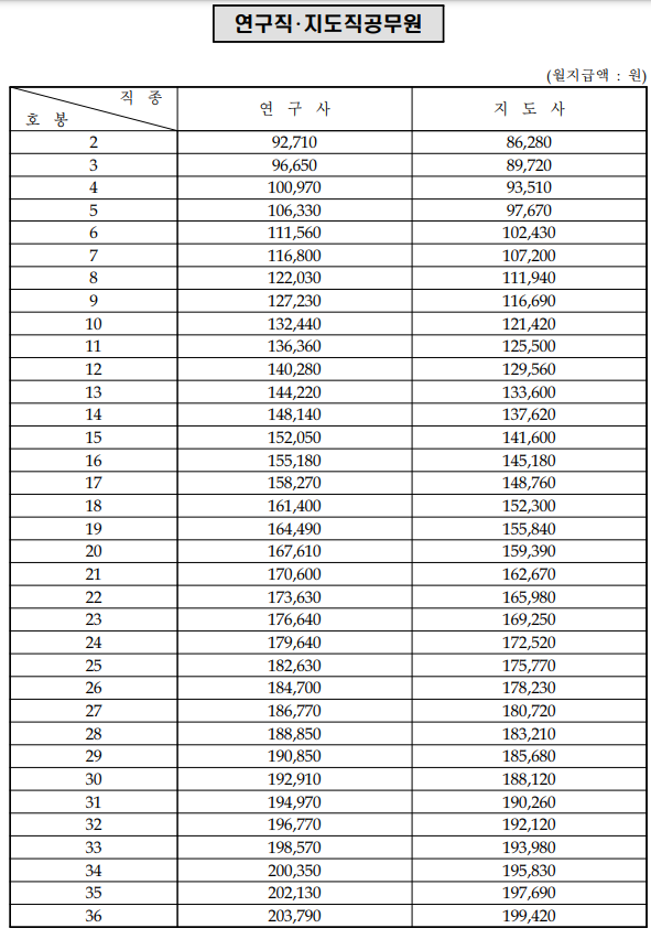
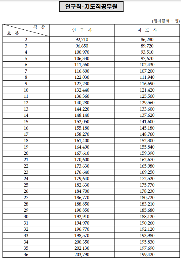
- 연구·지도직: 연구사 20호봉 167,610원, 지도사 20호봉 159,390원.
공안직 대우공무원 수당 조견표

- 법무부·출입국·교정 등 고위험 업무
- 부서장 재량으로 위험수당 추가 지급 가능
경찰·소방 대우공무원 수당 조견표

- 국민 안전 보호 업무 특성상 현장근무 가산금 중복 인정
- 2025년부터 화재·재난 현장 근무일수에 따라 최대 15% 추가 인상 추진
우정직 대우공무원 수당 조견표

- 격오지 근무 시 별도 근무지 가중치 1.15 적용
연구·지도직 대우공무원 수당 조견표

- 석·박사 학위 소지 시 전문연구수당과 중복 가능
2024년 개정 사항 요약
- 근무기간 단축
- 6급·7급·8급·9급: 5년 → 4년
- 연구직·지도직: 10년 → 9년
- 평가요건 간소화: 상위직급 직무수행 실적평가를 연 1회로 단일화.
- 강임·휴직 시 처리: 강임 시 자격 상실, 휴직 기간은 복귀 후 일할계산.
6급 대우공무원 수당 규정 상세
대우공무원 소요기간
선발 요건
- 현 6급 직급에서 4년 이상 재직
- 근무성적평정 상위 50% 이내 또는 특별승진 추천 실적
- 징계·감봉·견책 등 불이익 처분이 없을 것
6급 호봉별 수당액(2024년 기준)
- 2호봉: 99,060원
- 5호봉: 113,020원
- 10호봉: 137,400원
- 15호봉: 157,800원
- 20호봉: 173,490원
- 25호봉: 185,550원
- 30호봉: 187,530원
※ 2025년 정부안(3% 인상 가정) 적용 시 각 금액에 *1.03 의 인상분이 반영될 예정입니다.
실무 계산 예시
- 6급 10호봉 원봉급 3,350,000원이라 가정할 때
- 수당 = 3,350,000 × 0.041 = 137,350원(반올림)
- 합산 월급 = 3,350,000 + 137,350 = 3,487,350원
- 상위 계급(5급 10호봉) 원봉급 3,500,000원일 경우 초과 없음 → 전액 지급
호봉별 수당 산정 절차
- 기본급 확인: 인사혁신처 고시 봉급표.
- 4.1% 곱셈: 소수점 첫째 자리에서 반올림.
- 상위 계급 초과 여부 판단: 초과 시 초과분 삭감.
- 월할 지급: 강임·휴직 시 일할계산.
행정 실무 체크리스트
- 연말 인사위원회 전 4년 재직 요건 충족자 명단 확인
- 근무성적평정 상·하반기 점수 집계 후 상위 50% 선별
- 대우공무원 발령일 기준 다음 달 25일 급여부터 반영
- 인사발령 후 임면 통보를 전산 HR시스템에 입력
자주 묻는 질문(FAQ)
- Q. 대우공무원수당이 상위 직급으로 승진 시에도 유지되나요?
- A. 상위 계급 승진 시 대우공무원 자격은 자동 소멸하며 수당도 종료됩니다.
- Q. 육아휴직 기간은 근무기간에 포함되나요?
- A. 휴직 기간은 산입되지 않으나 복귀 후 재직기간 합산이 가능합니다.
- Q. 성과연봉제 적용 대상자도 받을 수 있나요?
- A. 성과연봉 공무원은 기본연봉에 대우공무원수당을 합산하지 않습니다.
결론 및 전망
2025년 대우공무원수당은 6급 이하 실무자에게 실질적 보상을 제공하며, 공직사회 동기 부여의 핵심 축으로 자리 잡을 전망입니다. 특히 6급 공무원은 요건 완화로 혜택 대상이 대폭 확대되므로, 인사담당자는 조기 선발 계획 수립과 예산 확보가 필수입니다. 지속적인 제도 개선과 물가 반영을 통해 공무원 보수체계는 ‘공정성’과 ‘합리성’이라는 두 마리 토끼를 잡아야 할 것입니다.
반응형
'직업,공무원 정보' 카테고리의 다른 글
| 백해룡 경정 프로필 나이 고향 경력 학력 (0) | 2025.11.05 |
|---|---|
| 경찰 계급체계 계급표 직급체계: 쉽게 이해하는 대한민국 경찰 조직의 위계 (0) | 2025.08.03 |
| 홍장원 프로필 국정원 1차장 나이 고향 (0) | 2024.12.07 |
| 2025년 군인 봉급표 2025 공무원 봉급 인상률 반영 (0) | 2024.07.28 |
| 근로기준법 월차 발생 기준 월차 연차 뜻 (0) | 2024.07.15 |
댓글