2023년 군인 봉급표 24년 군인 월급
2023년 군인 봉급표 인상과, 2024년 군인 월급 예상
2022년과 비교해 2023년의 군인 월급은 상당한 변화를 겪었습니다. 이는 국방 분야의 예산 증가와 밀접한 연관이 있습니다. 구체적으로, 병사들의 월급이 다음과 같이 인상되었습니다:
- 병장: 68만 원에서 100만 원으로
- 상병: 61만 원에서 80만 원으로
- 일병: 55만 원에서 69만 원으로
- 이병: 51만 원에서 60만 원으로
이러한 군인 월급 2024 인상률은 평균적으로 47.9%에 달합니다.


2024년 군인 월급과 2025년 군인 월급 전망
2024년 예산안에 따르면, 국방 예산의 추가 증가가 예정되어 있어 군인 월급이 다음과 같이 인상될 전망입니다:
- 병장: 100만 원에서 125만 원으로
- 상병: 80만 원에서 100만 원으로
- 일병: 69만 원에서 80만 원으로
- 이병: 60만 원에서 64만 원으로
또한, 내일준비지원금의 최대 지급액도 30만 원에서 40만 원으로 증가하여, 병장의 경우 월급과 지원금을 합쳐 총 165만 원을 받게 됩니다. 2025년에는 병장의 월급이 150만 원으로 더욱 상승할 계획이며, 여기에 내일 준비지원사업의 추가 적립금 55만 원을 더하면 총 205만 원의 수입이 예상됩니다.
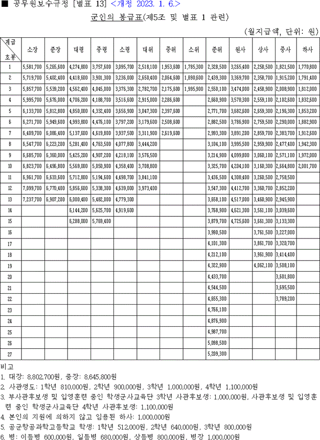
24년 군인 월급 장교 부사관 월급
병장의 월급 상승률이 초급간부의 기본급 인상률(3~4%)을 크게 상회하면서, 병장의 월급이 초급간부 기본급을 역전할 가능성이 제기되고 있습니다.

장교와 부사관 복무장려금의 인상
장교와 부사관의 복무장려금도 큰 폭으로 인상될 예정입니다. 2022년 장교와 부사관은 각각 600만 원과 500만 원의 복무장려금을 받았으나, 향후 1200만 원과 1000만 원으로 인상될 계획입니다.

직업 군인 월급과 수당의 다양성
군인의 월급은 기본급 외에도 다양한 수당으로 구성됩니다. 이들 중 몇 가지를 예로 들면, 정근수당 및 가산금, 가족수당, 주택수당, 특수지근무수당, 위험근무수당, 시간외근무수당, 관리업무수당 등이 있습니다. 또한, 명절휴가비, 연가보상비, 직급보조비 등도 수령 대상입니다. 이 외에도 국외 근무 시나 육아휴직 시에 지급되는 특별한 수당들도 존재합니다.
성과상여금의 계산
성과상여금은 계급별 지급기준액표에 따라 산정되며, 개인별 차이가 있을 수 있습니다. 평균금액인 110%를 기준으로 가정하는 경우가 일반적입니다.
군인의 월급은 단순한 기본급을 넘어서 다양한 수당과 보조금으로 구성되며, 이는 개인의 상황과 계급에 따라 크게 달라질 수 있습니다. 군 복무 중인 개인의 정확한 수입을 파악하기 위해서는 이러한 다양한 요인들을 종합적으로 고려해야 합니다.
키워드: 군인 월급, 2023년 군인 봉급표, 국방 예산, 병장 월급, 상병 월급, 일병 월급, 이병 월급, 내일준비지원금, 초급간부 기본급, 장교 복무장려금, 부사관 복무장려금, 직업 군인 수당, 성과상여금, 군 복무, 장기복무.
'밀리터리 > 군대' 카테고리의 다른 글
| 2024년 부사관 월급 2024 군인월급 (0) | 2023.12.22 |
|---|---|
| 군 장병내일준비 적금 매칭지원금 계산 방법 및 만기해지 예상금액 안내 (0) | 2023.11.25 |
| 장병내일준비적금 가입 방법 서류, 해지 안내 (0) | 2023.11.16 |
| 요즘 유격장의 인권수준 변화와 군 훈련의 발전 방향 (0) | 2023.11.15 |
| 서울 진돗개 하나 발령, 군사 대비발령체제 데프콘, 워치콘, 인포콘 (0) | 2023.11.12 |